/forums/comment/619756-i-data-ed3-3-i-div-class-bbcode-quote-contenteditable
Средний пульс какой-то сумасшедший для меня.
Пульс растет с повышением температуры окружающего воздуха.
Мозг фиксирует повышение температуры тела и начинает гнать кровь в кожу, дабы начать потеть - испарять влагу и охлаждаться. А это дополнительная нагрузка на сердце, вот оно и повышает частоту, дабы везде успеть.
Попробуй увеличить охлаждение, например: использовать меньше одежды.
Что посмеешь, то и пожмешь.
/forums/comment/619773-i-data-ed3-3-i-div-class-bbcode-quote-contenteditable
Средний пульс какой-то сумасшедший для меня.
Пульс растет с повышением температуры окружающего воздуха.
Мозг фиксирует повышение температуры тела и начинает гнать кровь в кожу, дабы начать потеть - испарять влагу и охлаждаться. А это дополнительная нагрузка на сердце, вот оно и повышает частоту, дабы везде успеть.
Попробуй увеличить охлаждение, например: использовать меньше одежды.
Сегодня утром проснулся с красным горлом и небольшой болью. Пару дней назад на это жаловалась любимая, но у нее прошло за день. Перефразируя классиков, скажем
Вот в чем разгадка. Вот что ускоряет
Ритм сердца каждый божий круг.
А так кто смог бы догадаться
Что пульс толкает ввысь и ввысь?
Одежда, музыка и злоба,
Жара, отсутствие воды,
Ужасный сон и более всего
Прелюдия с красоткой, первый след.
Враг изнутри!
Парадокс спорта, — сказал он, — заключается в том, что человек тренируется и участвует в соревнованиях, чтобы улучшить качество жизни, но всегда рискует умереть
/forums/comment/619775-i-data-ed3-3-i-div-class-bbcode-quote-contenteditable
Не соглашусь!
В прелюдии с красоткой, например,
ритм сердца ускоряет,
желанье поскорей
Наполнить кровию горячей
Тел пещеристых пустоты...
Что посмеешь, то и пожмешь.
/forums/comment/619827-i-data-ed3-3-i-p-itog-za-nedelju-vypolnil-dve
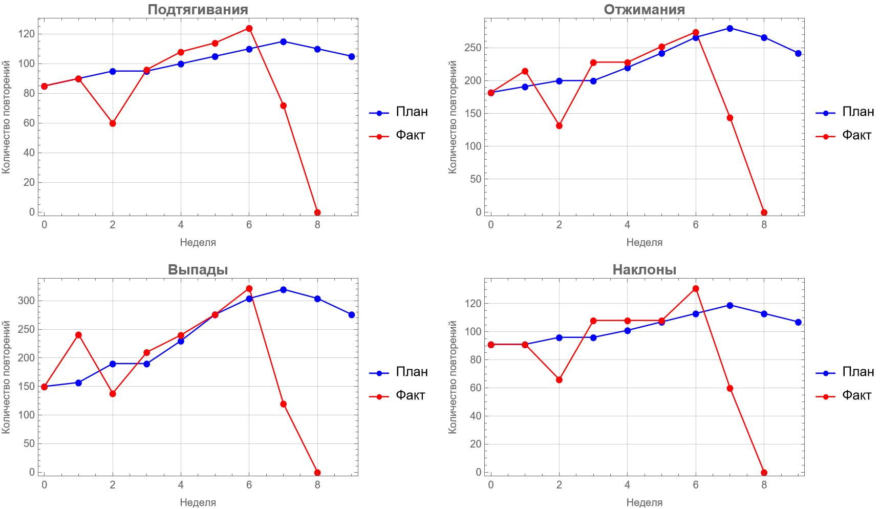
Итог за неделю: Выполнил две тренировки и заболел. Объемы не выполнены.
Текущая неделя №7 планы / осталось до 15-06-25:
подтягивания 115. / 79б / 43п
выпады 320. / 260 / 200
отжимания 280. / 208 / 136
наклоны 119. / 89 / 59
На неделю 8 уменьшу объемы. Еще правда и поправиться надо.

Немного о неделе:
Два дня in, пять дней out. И еще буду out. Простыл без температуры. Еще и правое плечо стало болеть как назло, с болезнью даже усилилась боль. Перед болезнью тренировки тяжело давались по пульсу. Возможно надо было делать легкие или совсем не делать, размышления об этом были. Посмотрим, как будет в следующий раз.
Парадокс спорта, — сказал он, — заключается в том, что человек тренируется и участвует в соревнованиях, чтобы улучшить качество жизни, но всегда рискует умереть
/forums/comment/620052-i-data-ed3-3-i-p-prodolzhaju-bolet-no-vrode-s-zavtra
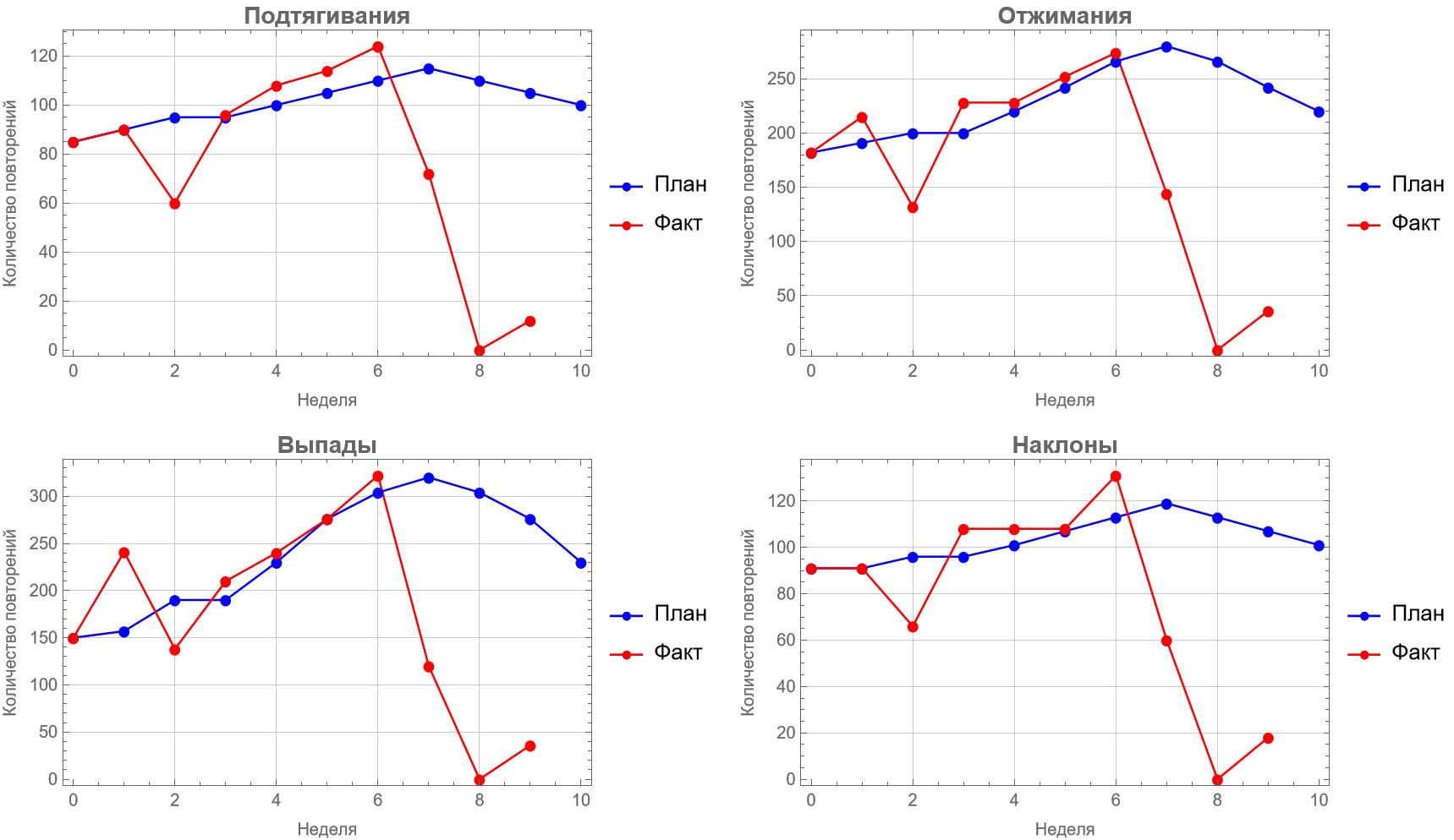
Продолжаю болеть, но вроде с завтра можно уже тренироваться. Вот пока мои планы и состояние дел.
Текущая неделя №9 планы / осталось до 29-06-25:
подтягивания 105.
выпады 276.
отжимания 242.
наклоны 107.
Сайт жутко лагает, не понимаю, как вести тут дневник дальше.
Парадокс спорта, — сказал он, — заключается в том, что человек тренируется и участвует в соревнованиях, чтобы улучшить качество жизни, но всегда рискует умереть
/forums/comment/620076-i-data-ed3-3-i-p-zanimalsja-utrom-sdelal-6-krugov-2-6
Занимался утром. Сделал 6 кругов: 2-6-6-3. При подтягиваниях стало сразу ломить трицепс левой руки, но с каждым кругом было полегче. Сморкался между кругами. Отвратительно, вот ты был в форме, которая тебе нравится, проходит 16 дней и ты калич.
Пью водочку. Хожу на собеседования. Оплакиваю прошлую форму. Буду надеяться, что скоро поправлюсь.
Парадокс спорта, — сказал он, — заключается в том, что человек тренируется и участвует в соревнованиях, чтобы улучшить качество жизни, но всегда рискует умереть
/forums/comment/620159-i-data-ed3-3-i-p-popravilsja-no-stal-lenitsja-eshhe
Поправился, но стал лениться. Еще болит правое плечо.
Результаты продолжают падать.
Планы на 10 неделю / осталось до 06-07-25:
подтягивания 100.
выпады 230.
отжимания 220.
наклоны 101.
Парадокс спорта, — сказал он, — заключается в том, что человек тренируется и участвует в соревнованиях, чтобы улучшить качество жизни, но всегда рискует умереть
/forums/comment/620177-i-data-ed3-3-i-p-zanimalsja-utrom-sdelal-6-krugov-1-8
Занимался утром. Сделал 6 кругов: 1-8-7-3. При подтягиваниях стало сразу ломить трицепс левой руки, поэтому я перешел на австралийские и уже после всех кругов сделал подтягивания, записался к врачу в итоге с этим. Капец конечно, как меня выбило. Левая рука болит на подтягиваниях ооочень сильно (в остальных упражнениях норм, на автралийский чуть-чуть), правое плечо болит. На наклонах шатает, как одуванчик. Отжимания одни радуют, делаю, как Lawnmover показал. Ну и калич я стал после болезни.
Похвалю себя, что возобновил. Ура.
Парадокс спорта, — сказал он, — заключается в том, что человек тренируется и участвует в соревнованиях, чтобы улучшить качество жизни, но всегда рискует умереть
/forums/comment/620178-i-data-ed3-3-i-div-class-bbcode-quote-contenteditable
Не расстраивайся, начинать заниматься спортом, в 37+, непростая затея.
"Взрослые" новички, очень удивляются, когда ответом на их вопрос "с чего начать", я рекомендую многоповторку, с очень медленной и плавной прогрессией нагрузки.
- Представь, говорю, что ты 80 летний старик, вот от этого и отталкивайся.
в ответ, делают удивленное лицо.
А у нас, самый "опасный" возраст. Тело уже начало стареть, медленно адаптируется, хрящи одеревенели... А тестостерона (у большинства) и амбиций (у всех), выше крыши. Очень легко в травму соскочить, сам несколько раз, так влетел.
Что посмеешь, то и пожмешь.
/forums/comment/620196-i-data-ed3-3-i-p-zanimalsja-utrom-sdelal-6-krugov-1
Занимался утром. Сделал 6 кругов: 1-10-7-4. Потдягивания даже сделать не смог из-за боли в левом трицепсе. Заменил одно на 10 австралийских подтяигваний. Завтра у врача уже узнаем, что там. Добавил немного на ноги повторов, уже лучше переношу нагрузку.
запись включил после первого круга.
Не расстраивайся, начинать заниматься спортом, в 37+, непростая затея.
Итак, нужно торопиться не только потому, что мы все ближе подходим к смерти, но и потому, что еще при жизни нас подстерегает потеря способности правильного понимания и наблюдения вещей.
Парадокс спорта, — сказал он, — заключается в том, что человек тренируется и участвует в соревнованиях, чтобы улучшить качество жизни, но всегда рискует умереть
/forums/comment/620220-i-data-ed3-3-i-p-zanimalsja-utrom-sdelal-6-krugov-1
Занимался утром. Сделал 6 кругов: 1-10-7-4. Подтягивания даже не пробовла делать, болит трицепс. Делаю по 10 австралийских подтягиваний за круг.
Пульс ниже. То ли поспал лучше, то ли организм начинает привыкать.
Парадокс спорта, — сказал он, — заключается в том, что человек тренируется и участвует в соревнованиях, чтобы улучшить качество жизни, но всегда рискует умереть
/forums/comment/620233-i-data-ed3-3-i-p-zanimalsja-utrom-sdelal-8-krugov-1
Занимался утром. Сделал 8 кругов: 1-10-7-5. Подтягивания даже не пробовла делать, болит трицепс. Делаю по 10 австралийских подтягиваний за круг. Пульс позволял и самочувствие, поэтому Кайрос, сделал еще два круга к обычным 6.
Пульс в поряде. Порадовал организм.
Сегодня к врачу, узнаю, что с левой рукой там.
Парадокс спорта, — сказал он, — заключается в том, что человек тренируется и участвует в соревнованиях, чтобы улучшить качество жизни, но всегда рискует умереть
/forums/comment/620311-i-data-ed3-3-i-p-itog-za-nedelju-vypolnil-4
Итог за неделю: Выполнил 4 тренировки.
Планы на неделю №11
подтягивания 270 австралийских
выпады 250
отжимания 86
наклоны 113
Немного о неделе:
Стало легче тренироваться. Удалось немного вернуть объемы ног. Руки в ауте. Болит, как левый трицепс (только на подтягиваниях и очень слабо на астралийских), так и правое плечо. Ходил к врачу, говорит вообще заниматься нельзя, но у меня уже такое было, только гимнастика и избавила от боли. Поэтому Решительно снижаю объемы на руки. Осваиваю правильную технику отжиманий на перекладине по видео товарища
Lawnmover . Пока думаю о втягивании живота и штангу к сосочкам, в таком виде правое плечо не беспокоит. Ну и объем снизил конечно же. Посмотрим, как заживать будет.
Еще последние недели, нет да нет, и выпью водочки. Имел интересный диалог ночью в одном из баров. Подсаживается девушка 24 лет в платье и начинает рассказывать черные анекдоты. Все пошлее и пошлее. Спрашиваю - какие планы? - На сегодня или вообще? - Вообще. - Потрахаться (и смеется). О времена! Дети себя так ведут! По факту это была обычая тарелочница, которая зызывает гостей в кальянные с депозитом. Зызывают тоже интересно, рассказывают, как ходили на курсы по миньету за 25к. Не. Ну я все понимаю, но мне же не 20 лет, чтобы мне башню от этого срывало.
Узнал еще, что у кофеина период полураспада 3-6 часов. Попробую теперь кофе и чай пить до 15-00. Вчера получилось и вроде поспал хорошо. Белый русский конечно же тут не учитывается.
Парадокс спорта, — сказал он, — заключается в том, что человек тренируется и участвует в соревнованиях, чтобы улучшить качество жизни, но всегда рискует умереть
/forums/comment/620312-i-data-ed3-3-i-p-zanimalsja-utrom-sdelal-6-krugov-12
Занимался утром. Сделал 6 кругов: 12-10-8-5. Делаю по 12 австралийских подтягиваний за круг.
Пульс в поряде. Возвращаемся.
Парадокс спорта, — сказал он, — заключается в том, что человек тренируется и участвует в соревнованиях, чтобы улучшить качество жизни, но всегда рискует умереть
/forums/comment/620327-i-data-ed3-3-i-p-zanimalsja-utrom-sdelal-6-krugov-12
Занимался утром. Сделал 6 кругов: 12-10-8-5. Делаю по 12 австралийских подтягиваний за круг. Что-то запланированный объем для отжиманий на неделю уже исчерпан. С другой стороны дам больше отдыха!
Пульс с первого круга улетел вверх. Поэтому делал паузы побольше и даже во время круга. Подумал над причинами: либо духота и плюс то, что с момента пробуждения прошло два часа и я не пил еще никакой воды и плюс к тому, что я изменил технику выпадов (для большей подготовке к зимнему сезону), либо снова зараза во мне развивается. Ответ узнаем через несколько дней.
Сегодня получал удовольствие. Снова чувствую мышцы, а с ними и вкус к жизни. Все таки интересная мысль, что мышечная масса это не просто сила, а вопрос экзистенциального существования для каждого из нас. Организм, окруженный техносферой, комфортом и мозговыми заебами, тоскует по состоянию обезьяны с криками несущейся от леопарда. Мы же лишний раз боимся вспотеть и редко решаемся нестись за автобусом (понятно, что придет другой, как и другая). На детской площадке убежавшие от лисы дети стоят с жадной отдышкой и невероятно счастливыми глазами, - их организм удовлетворен. Он быстр, он ловок, он мощен, - он жив!
Парадокс спорта, — сказал он, — заключается в том, что человек тренируется и участвует в соревнованиях, чтобы улучшить качество жизни, но всегда рискует умереть